Teknik Membaca cepat adalah sebuah cara membaca dalam waktu yang relatif singkat yang dilakukan dengan beberapa langkah tertentu.

Dalam membaca cepat didalamnya terdapat sebuah proses pemindahan pandangan mata kita yang dilakukan dengan cepat yang tertuju pada kata-kata atau kalimat-kalimat yang kita baca.
Sehingga, apabila anda ingin dapat memiliki kemampuan membaca dengan cepat maka setidaknya anda melakukan 4 langkah membaca cepat berikut ini :
4 langkah dalam Membaca Cepat yang Perlu anda Lakukan
Untuk anda yang ingin memiliki kemampuan membaca dengan cepat, maka anda harus sering-sering melakukan 4 langkah berikut ini ketika anda membaca. Adapun keempat langkah tersebut adalah sebagai berikut:
- Berkonsentrasilah dengan sungguh-sungguh ketika membaca sesuatu.
- Hindari Kebiasaan Membaca dengan bersuara maupun kebiasaan membaca dengan bibir bergerak.
- Usahakanlah untuk memperluas jangkauan mata kita saat membaca.
- Jauhilah sejauh-jauhnya kebiasaan mengulang bacaan.
Cobalah anda pahami dengan baik langkah membaca dengan cepat di atas, setelah anda paham maka sering-seringlah anda praktikan keempat langkah tersebut ketika anda membaca, entah itu membaca materi pelajaran di buku, membaca koran atau membaca artikel pendidikan dan sebagainya.
Kemampuan membaca dengan cepat akan lebih sempurna lagi jika diikuti juga adanya pemahaman isi yang dibaca sekurang-kurangnya 70% dari setiap bacaan yang dibaca. Jadi lakukanlah kegiatan membaca dengan konsentrasi yang tinggi.
Apakah anda saat ini sudah mampu menguasai Teknik membaca cepat? Jika anda ragu menjawabnya, anda dapat mengukur kecepatan anda dalam membaca dengan menggunakan rumus membaca cepat, seperti apakah rumus membaca cepat? Pahamilah berikut ini :
Rumus Membaca Cepat yang sudah diakui Kebenarannya
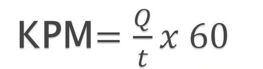
Untuk anda yang mau tahu bagaimana cara mengukur kecepatan baca anda, sebaiknya ketahui dulu rumus membaca cepat berikut ini:

Keterangan Rumus membaca cepat:
Kpm : Singkatan dari Kecepatan per menit
Q : Menunjukan Jumlah kata yang dapat dibaca oleh setiap orang
t : Menunjukan lama waktu yang dibutuhkan untuk membaca (satuan dalam detik)
60 : Satuan detik dalam 1 menit
Contoh Soal Penerapan Rumus Kecepatan Baca :
Zhafran membaca sebuah materi pelajaran, jumlah kata yang dibaca zhafran adalah 800 kata.
Adapun waktu yang diperlukan zhafran untuk membaca artikel tersebut adalah 4 menit 9 detik. Pertanyaannya berapakah kecepatan baca zhafran?
Penyelesaian :
Diketahui:
Q = 800 kata
t = 5 menit 20 detik atau ( 5 x 60 ) + 20 = 320 detik
Kpm = 800/ 320 x 60 = 150 Kpm
Demikianlah Artikel tentang teknik membaca cepat dan rumus menghitung kecepatan membaca yang dapat disampaikan dalam situs akuntansi pendidik, semoga setelah anda membaca artikel pendidikan ini anda dapat mempraktikan cara membaca cepat dalam kehidupan sehari-hari dan anda dapat menghitung kecepatan baca anda dengan rumus membaca cepat.
